library(naniar) # Handling and visualizing missing data
library(ranger) # ranger包用于随机森林等相关操作
library(tidymodels) # 用于建模流程的框架
tidymodels_prefer()
theme_set(theme_bw())29 缺失值处理
处理缺失值是数据分析中的重要环节。常见的缺失值处理方法包括:
29.1 调查缺失数据
set.seed(383)
scat_split <- initial_split(scat, strata = Species)
scat_tr <- training(scat_split)
scat_te <- testing(scat_split)
scat_rs <- vfold_cv(scat_tr, repeats = 5, strata = Species)
scat_tr_pred <- scat_tr |>
select(-Species)naniar::miss_var_summary(scat_tr_pred)# A tibble: 18 × 3
variable n_miss pct_miss
<chr> <int> <num>
1 Taper 14 17.3
2 TI 14 17.3
3 Diameter 4 4.94
4 d13C 2 2.47
5 d15N 2 2.47
6 CN 2 2.47
7 Mass 1 1.23
8 Month 0 0
9 Year 0 0
10 Site 0 0
11 Location 0 0
12 Age 0 0
13 Number 0 0
14 Length 0 0
15 ropey 0 0
16 segmented 0 0
17 flat 0 0
18 scrape 0 0
# 创建存在缺失值和不存在缺失值的列向量
miss_cols <- c("Taper", "TI", "Diameter", "Mass", "d13C", "d15N", "CN")
non_miss_cols <- c(
"Month",
"Year",
"Site",
"Location",
"Age",
"Number",
"Length",
"ropey",
"segmented",
"flat",
"scrape"
)
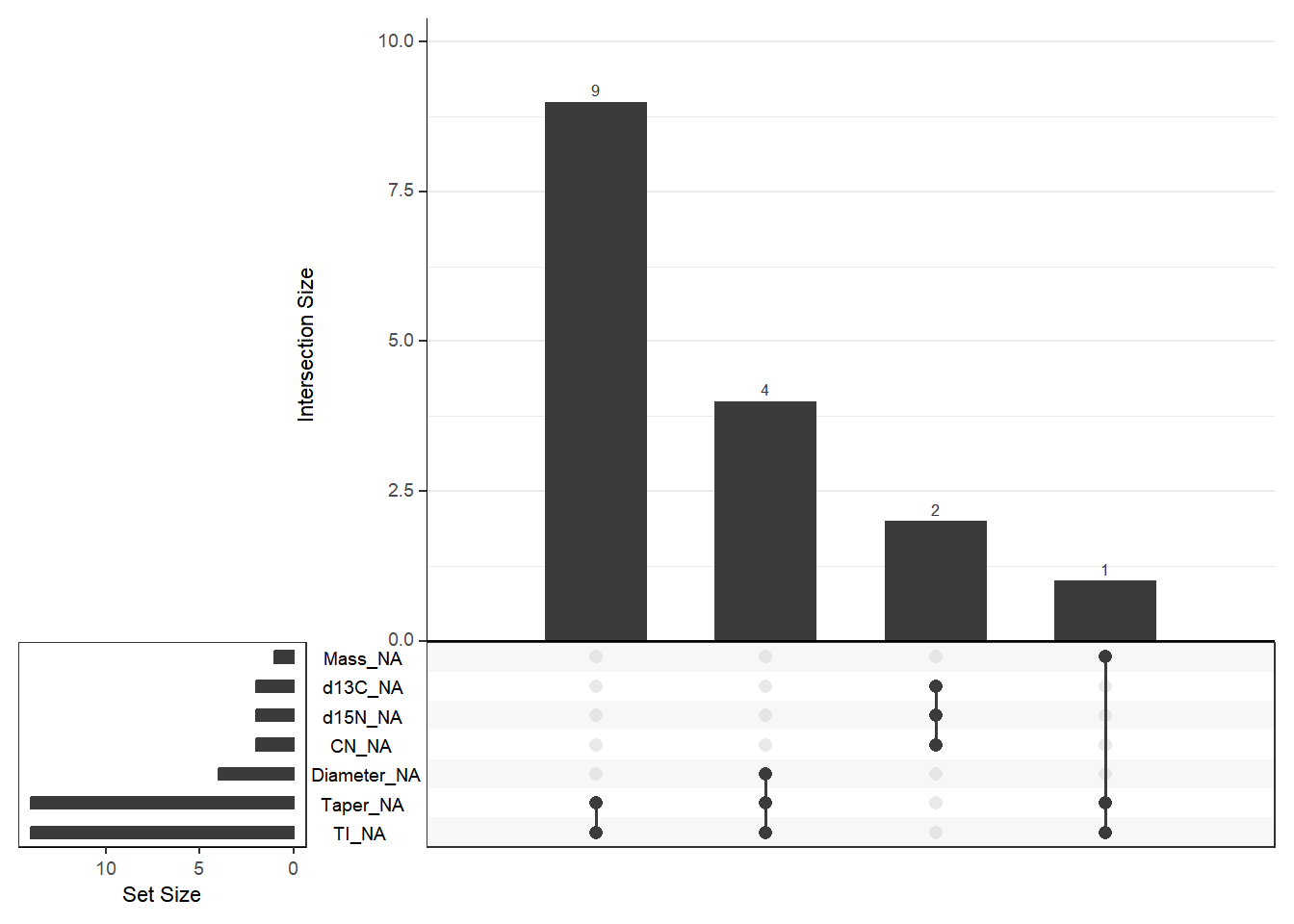
# 可视化缺失值-upset plot
naniar::gg_miss_upset(scat_tr_pred, nsets = 10)
上图为一个upset plot, 多用于展示多个变量缺失值的组合关系。左侧条形图显示各变量单独的缺失数量(Set Size),下方点阵图显示哪些变量同时缺失,上方条形图则表示对应缺失组合出现的频数(Intersection Size)。通过它可以判断缺失是集中发生在少数变量组合上,还是较为分散。
- 例如上图中,变量
Taper和TI的缺失值数量较多,并且它们经常同时缺失(点阵图中显示两者同时缺失的组合频数较高)。 - 其他变量如
Diameter、Mass等的缺失值较少,且通常单独缺失(点阵图中显示这些变量单独缺失的组合频数较高)。 - 这种模式表明缺失值主要集中在特定变量组合上,而非随机分布在所有变量中。
29.2 缺失值出现的原因
理解缺失值出现的原因有助于选择合适的处理方法。缺失值的出现主要由以下3种形式:
完全随机缺失(MCAR):缺失值的出现与任何变量无关,完全随机。例如,数据录入错误导致的缺失。
随机缺失(MAR):缺失值的出现与其他观测变量有关,但与缺失值本身无关。比如女性受访者可能更容易决绝填写收入信息,这时收入这个变量“是否缺失”与收入之外的变量(本例中为性别,还有可能是年龄、教育程度等)有关。对这类缺失,通常可以借助其他观测变量进行插补或建模处理。
非随机缺失(MNAR):缺失值的出现与缺失值本身有关。比如病情越严重的人越不愿报告健康状况,缺失机制就和被隐藏的信息本身相关。这类缺失最难处理,因为仅凭现有数据很难完全还原其规律,通常需要更强的假设或敏感性分析。
完全随机缺失(MCAR):老师在录入成绩时偶尔犯错,导致某些学生的成绩没有被记录下来。这种缺失是完全随机的,与学生的表现或其他特征无关。不管你成绩好还是差、不管出勤率高低、男女所有人缺失成绩的概率完全一样。
随机缺失(MAR):成绩较差的学生可能更倾向于不提交考试成绩表格,或者出勤率较低的学生更可能缺失成绩。这时,缺失值的出现与学生的表现相关,但与实际考了多少分本身无关。
非随机缺失(MNAR):数学考得越差的学生,越故意空着不填、弃考不交卷;或者成绩越好的学生越不愿意透露自己的成绩(可能是因为害怕引起同学嫉妒)。在这种情况下,缺失值的出现与成绩本身直接相关。
在实际情况中,我们可以参照下表判断缺失值类型并对齐进行处理:
| 缺失值类型 | 核心定义 | 判断依据 | 适用处理方法 | 方法优缺点 | 适用场景 |
|---|---|---|---|---|---|
| 完全随机缺失(MCAR) | 缺失值出现完全随机,与任何变量(包括缺失值本身、其他观测变量)均无关 | 1. 缺失样本在各观测变量上的分布,与完整样本无显著差异; 2. 对任意变量,缺失与否的分组间无统计学差异 |
1. 行删除(删除含缺失的样本); 2. 列删除(删除缺失率过高的变量); 3. 均值/中位数/众数填充 |
优点:操作简单,无额外假设,结果偏差小; 缺点:样本量较小时会导致数据量大幅减少 |
数据录入错误、设备故障导致的随机缺失;缺失率低(通常<5%)的数据集 |
| 随机缺失(MAR) | 缺失值出现与其他观测变量相关,但与缺失值本身的大小无关 | 1. 缺失仅与可观测变量相关,控制这些变量后,缺失随机; 2. 例如“年龄”影响“收入”缺失,但“收入”缺失与否和“实际收入值”无关 |
1. 多重插补(Multiple Imputation); 2. 最大似然估计(Maximum Likelihood); 3. 基于相关变量的回归填充 |
优点:利用已有变量信息,降低偏差,保留更多数据; 缺点:需正确识别相关观测变量,建模过程较复杂 |
调查中特定人群(如高年龄、低学历)对某问题的选择性不回答;缺失率中等(5%-20%)的数据集 |
| 非随机缺失(MNAR) | 缺失值出现与缺失值本身的大小直接相关,存在“自我选择”偏差 | 1. 缺失与缺失值本身相关,无法通过观测变量解释; 2. 例如“高收入者”更可能不填“收入”,“病情严重者”更可能不填“健康评分” |
1. 敏感性分析(评估缺失对结果的影响); 2. 选择模型/模式混合模型(需结合领域假设); 3. 基于专家经验的合理推测填充 |
优点:可在一定程度上处理系统性偏差; 缺点:依赖强假设,结果稳定性差,需谨慎解读 |
涉及隐私、敏感信息(收入、健康、信用)的调查数据;存在明显选择性偏差的数据集 |
哪些模型对缺失值不敏感? 一些模型(如决策树、提升树、随机森林)在处理缺失值时具有内置机制,可以直接使用含有缺失值的数据进行训练和预测,而无需事先进行缺失值处理。基于树的模型在分裂节点时,决策树可以将缺失值视为一个特殊的类别,或者根据其他特征的值来决定如何处理缺失值。因此,在使用这些模型时,可以直接使用含有缺失值的数据进行训练和预测,而无需事先进行缺失值处理。但值得注意的是,虽然这些模型对缺失值不敏感,并不意味着缺失值对模型的性能没有影响或缺失值的问题消失了。大量的缺失值仍然可能会导致模型的预测能力下降,尤其是当缺失值集中在某些重要特征上时。因此,在使用这些模型时,仍然需要评估缺失值的数量和分布,并考虑是否需要进行适当的处理。
29.3 过滤
有两种配方步骤可用于缺失值的过滤:
-
recipe::step_naomit(): 删除有缺失值的行(即删除有缺失值的观测值)。 -
recipe::step_filter_missing(): 删除缺失值超过一定阈值的列(变量)。
na_omit_rec <- recipe(Species ~ ., data = scat_tr) |>
step_naomit(everything()) |> # 删除含有缺失值的行
prep() # prep()函数用于准备配方对象,执行预处理步骤并计算所需的统计量(如均值、标准差等),以便后续应用于数据集
# bake()函数可将预处理步骤(repice)应用于数据集并返回处理后的数据
# 这里我们将new_data设置为NULL,表示将预处理步骤应用于原始训练数据集scat_tr
all_complete <- recipes::bake(na_omit_rec, new_data = NULL)prep() 之后得到的是“配方对象”,不是清洗后的数据。要取出处理后的训练数据,需要再用 bake(..., new_data = NULL)(或 juice())来生成数据集。另一个要点是 everything() 会把结果变量也纳入缺失检查,因此如果Species 有缺失,对应行也会被删掉。filter_features_rec <-
recipe(Species ~ ., data = scat_tr) |>
step_filter_missing(everything(), threshold = 0.1) |>
prep()
recipes::bake(filter_features_rec, new_data = NULL)# A tibble: 81 × 17
Month Year Site Location Age Number Length Diameter Mass d13C d15N
<fct> <int> <fct> <fct> <int> <int> <dbl> <dbl> <dbl> <dbl> <dbl>
1 January 2012 ANNU off_edge 3 7 5.5 21.9 26.4 -27.6 3.89
2 January 2012 ANNU off_edge 5 2 11 17.5 16.2 -28.6 7.34
3 January 2012 ANNU middle 5 1 20.5 18 11.2 -27.4 6.06
4 February 2013 ANNU edge 5 4 10.5 15.5 12.8 -25.8 3.88
5 February 2013 ANNU off_edge 5 4 11.5 17.5 14.1 -27.3 6.61
6 February 2013 ANNU off_edge 5 5 7.5 18 21.7 -27.2 9.07
7 April 2012 YOLA middle 4 4 5.5 21.7 19.2 -29.1 8.72
8 April 2012 YOLA middle 3 1 9 21.6 9.74 -29.8 10.3
9 April 2012 YOLA off_edge 5 2 16.5 18.7 10.2 -28.5 5.59
10 April 2012 ANNU off_edge 4 5 5 13.8 5.5 -27.7 1.84
# ℹ 71 more rows
# ℹ 6 more variables: CN <dbl>, ropey <int>, segmented <int>, flat <int>,
# scrape <int>, Species <fct>
# use the tidy method to determine which were removed
tidy(filter_features_rec, 1)# A tibble: 2 × 2
terms id
<chr> <chr>
1 Taper filter_missing_JiP8Z
2 TI filter_missing_JiP8Z
29.4 插补
插补是通过使用已有数据来估计和填补缺失值的过程。recipe中用于预测变量插补的函数包括:recipes::step_impute_bag(), recipes::step_impute_knn(), recipes::step_impute_linear(), recipes::step_impute_lower(), recipes::step_impute_mean(), recipes::step_impute_median(), recipes::step_impute_mode(), recipes::step_impute_roll()。它们各自具体的作用可以从其函数名称中了解(例如recipes::step_impute_linear()即利用线性回归模型对缺失值进行插补),大致可分为两种类型,基于模型的插补和基于算术统计值的插补。
29.4.1 基于模型的插补
以线性回归模型插补为例,使用变量Age、Length、Number和Location建立线性回归模型,对变量Taper的缺失值进行插补。
# A tibble: 0 × 19
# ℹ 19 variables: Month <fct>, Year <int>, Site <fct>, Location <fct>,
# Age <int>, Number <int>, Length <dbl>, Diameter <dbl>, Taper <dbl>,
# TI <dbl>, Mass <dbl>, d13C <dbl>, d15N <dbl>, CN <dbl>, ropey <int>,
# segmented <int>, flat <int>, scrape <int>, Species <fct>
tidy(linear_impute_rec, 1) # 查看使用的变量# A tibble: 1 × 3
terms model id
<chr> <list> <chr>
1 Taper <lm> impute_linear_jh0Cw
上述代码中,tidy() 的作用是把 recipe 步骤整理成更容易读取的表格形式。参数 1 表示查看第一个步骤,也就是 step_impute_linear() 这一步。返回结果会告诉你这个步骤作用于哪个变量、使用了什么模型,以及该步骤的内部标识符。
我们可以通过在参数impute_with中传入单独的变量对缺失值进行插补,这样做的好处是可以根据传入变量的分组对缺失值的插补实现差异化处理。
linear_impute_rec_group <-
recipe(Species ~ ., data = scat_tr) |>
step_mutate(Taper_missing = is.na(Taper)) |> # 创建一个新的变量Taper_missing,标记Taper列中哪些行存在缺失值
step_impute_linear(Taper, impute_with = imp_vars(Location)) |> # 根据Location变量的不同值对Taper列中的缺失值进行插补
prep()
bake(linear_impute_rec_group, new_data = NULL) |>
filter(Taper_missing) |> # 查看Taper_missing为TRUE的行,即原来Taper列中存在缺失值的行
count(Taper, Location) # 统计插补后Taper列的值在不同Location分组中的分布情况# A tibble: 3 × 3
Taper Location n
<dbl> <fct> <int>
1 24.2 middle 10
2 29.9 edge 2
3 30.5 off_edge 2
值得注意的是,预处理步骤的参数也可以进行调优。例如在step_impute_linear()中,我们可以通过调整参数impute_with来选择不同的变量进行插补,或者在step_impute_knn()中调整参数neighbors来改变KNN插补的邻居数量。通过合理地调优这些参数,可以提高插补的准确性和模型的性能。
我们将在 章节 33 章节中介绍如何使用交叉验证来评估不同预处理步骤的性能,从而选择最合适的缺失值处理方法。
29.5 缺失数据编码
对于分类变量的缺失值,我们可以将其编码为一个新的类别。 例如,在变量Location中,我们可以将缺失值编码为一个新的类别Missing,以便模型能够识别和处理这些缺失值,或者给缺失值赋予一个特殊的数值(如-9999)来表示缺失状态。
对缺失值编码虽然简单易行,但需要注意的是,编码后的缺失值可能会被模型误解为一个有意义的类别,从而影响模型的性能。因此,在使用这种方法时,需要仔细评估编码后的缺失值对模型的影响,并考虑是否需要进行进一步的处理或调整。